
Da's gallery
Da is a visual animal
a very superficial one.
Hard to say if he truly enjoys doing science,
or if he just likes seeing science.

I have been puzzled about, thinking about, dreaming about the internal mechanics of C. reinhardtii for a really long time. Especially during 2020-2024 while I was continuously iterating the paper on flagellar asymmetry.
This is a drawing I made using a technique called Dye Transfer Printing -- something that involves drawing mask, UV-light exposure, and development etc.
Later, when the paper finally got published, I made again (with the help from my designer friend), a figure focusing on the fibrous structures inside this alga.
It's been some 8 years and this paper has accompanied my personal growth as a researcher. When it finally materialized, I felt a pleasant air of indifference.



Bacteria turbulence is a sloppy term, it is not necessarily "a" thing.
People know that it is formed by putting a lot of bacteria into water and then it looks as if "turbulent".
This visualization shows speed as firing colors. You can see patterns formed by the packed suspension of bacteria (E.coli).
Presumably, the dense suspension behaves as a kind of odd fluid and can be understood by some inherent scales. We studied how the intrinsic scales of bacterial turbulence are determined. Interesting interplay between the cell, the collective, and the confinement are experimentally revealed.

In 2020, I spent some time to work on the front and the back cover of my thesis. With huge help from a designer, I was finally able to realize what I had in mind for my thesis.
Feels good.


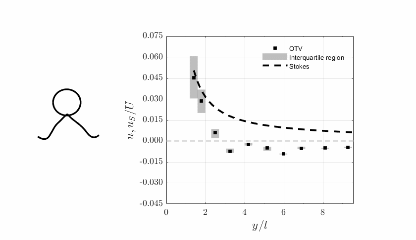
How a vortex is created by a beating cilium and propagates away from the cell.

![movie_[-0.045,0.075].gif](https://static.wixstatic.com/media/9c150c_5bbc6d3c34334ee6878011f9a28326df~mv2.gif)
In 2008, I was fantasizing some floating tower full of small electromagnets (coils) that could attract Fe3+ and Mn2+ in sea water - so as to attract algae and avoid harmful algal bloom in coastal area. Yes, it looks crappy (because the whole thing was drawn in MSpaint by mouse-clicking). Huh... a lot of work.

As I said, I am an experimentalist, and that means a propensity of recording and analyzing - every where. In 2019, when my daughter is 3 months old, I started to record her sleep-awake pattern. It appeared that in the first month, her sleep duration distribution follows a periodic pattern (left), while her ability to stay awake is almost Gaussian (right). See the color coding in the upper schematic drawing. These sleeps only include day-time ones.

As a follow up study (when putting her to sleep, I need to think about something to hang in there), I found that her stamina to stay awake transitioned from 110 min to ~140 min. And after 2 months, the previous 110 peak seemed to have doubled.


What happened next? I realized that I couldn't let her sleep as much as she wanted, otherwise she will stay awake during the middle of night. There stopped the experiment.